Bài này là một chương trong cuốn Bầu trời chiều ẩn giấu (bản 2018). Các bạn có thể download (miễn phí) cuốn sách này: bản để đọc trên thiết bị di động ở đây, và bản để in ra giấy ở đây, bản trên Google Play ở đây.
*
Phát kiến “Lỗ đen không đen hoàn toàn” và nhiều hiểu biết vật lý sâu sắc khác của Stephen Hawking đã tạo ra các đột phá trong vật lý vũ trụ.
*
**
Stephen Hawking bắt đầu học vật lý ở đại học Oxford khi mới 17 tuổi, trẻ hơn hầu hết các sinh viên cùng khóa. Nhờ trí óc vượt trội, tính trung bình anh chỉ học khoảng một giờ một ngày trong suốt thời gian học đại học. Vào năm cuối cùng ở đại học, anh có triệu chứng của một người già vụng về, hay bị ngã khi đi cầu thang. Đi khám bệnh, bác sĩ chẩn đoán là do uống bia, yêu cầu anh phải ngừng nhậu nhẹt.
Năm 21 tuổi, sau khi tốt nghiệp hạng ưu và chuyển qua làm nghiên cứu sinh, các bác sĩ chẩn đoán Hawking mắc chứng bệnh nan y: xơ cứng teo cơ. Họ dự đoán anh chỉ còn hai năm để sống.
Người thanh niên trẻ trung, có khiếu hài hước và đặc biệt thông minh ấy bắt đầu sống từng ngày của hai năm cuối cùng của cuộc đời trong sự lạnh lẽo tối tăm không hạnh phúc, không niềm vui của chứng trầm cảm. Tình cờ anh gặp Jane Wilde trong một tiệc năm mới. Họ yêu nhau. Tình yêu của Jane kéo Stephen lên khỏi vực sâu trầm cảm và đặt anh trở lại công việc nghiên cứu khoa học.
Thế rồi họ lấy nhau, họ cần tiền để sống, và sự nghiệp khoa học của Stephen Hawking bắt đầu rẽ sang hướng khác.
*
**
Ngành vũ trụ học hiện đại ra đời sau khi Einstein công bố thuyết tương đối tổng quát năm 1915. Đến cuối những năm 1950, ngành này vẫn còn chập chững, và hiểu biết của các nhà vật lý, cả lý thuyết lẫn thực nghiệm vẫn còn khá giới hạn. Qua thập niên 1960, các nhà vật lý bắt đầu có những bước tiến mới nhưng họ chưa đạt được đồng thuận về nhiều vấn đề.
Mặc dù nghiệm Big Bang của phương trình thuyết tương đối Einstein đã được nhà vật lý xô viết Alexander Friedmann tìm ra trong quãng thời gian 1922-1924 nhưng nhiều nhà vật lý, nhất là các nhà vật lý xô viết, vẫn tìm cách từ chối hoặc né tránh thuyết Big Bang, tức là không công nhận vũ trụ và thời gian có điểm khởi đầu (quan niệm vật lý truyền thống cho rằng thời gian không có khởi đầu và không có kết thúc, vô thủy vô chung).
Tương tự như vậy, nghiệm lỗ đen được nhà thiên văn học người Đức Karl Schwarzschild tìm ra năm 1916 bằng cách giải hệ phương trình của Einstein, và cũng có khá nhiều nhà vật lý công bố các công trình nghiên cứu về lỗ đen từ trước khi chiến tranh thế giới thứ hai nổ ra, nhưng rất nhiều nhà vật lý châu Âu cho đến tận đầu những năm 1970 vẫn không tin vào sự tồn tại của lỗ đen.
Nghiệm lỗ đen của Karl Schwarzschild
Năm 1916, Karl Schwarzschild đã giải hệ phương trình của Einstein và tìm ra một nghiệm kỳ lạ. Theo nghiệm này, xung các ngôi sao có khối lượng cực lớn có một không quyển kỳ ảo (magical sphere). Tất cả mọi thứ, kể cả ánh sáng, khi đi vào không quyển này sẽ bị hút vào ngôi sao khổng lồ và không có cách nào thoát ra được. Schwarzschild còn tính toán được bán kính của không quyển kỳ ảo này. Không quyển ma quái mà Schwarzschild tìm ra, ngày nay được gọi là “event horizon: chân trời sự kiện” hàm ý đấy là nơi xa nhất mà tầm mắt của người quan sát có thể với tới (sau chân trời là lỗ đen, nơi mà ánh sáng nếu vươn tới sẽ bị nuốt vào và không bao giờ trở ra được).
*
Dưới đây là giản đồ không gian Minkowski để mô tả không – thời gian, trong đó trục thẳng đứng là trục thời gian, trục ngang là không gian. Hermann Minkowski là thầy giáo đại học của Einstein. Năm 1908, tức ba năm sau khi Einstein công bố thuyết tương đối hẹp (1905), Minkowski công bố công trình của mình, trong đó ông đưa thời gian vào làm chiều thứ tư của không gian bốn chiều. Ông cũng gọi không gian đó là spacetime. Lúc đầu Einstein chưa công nhận giá trị công trình của Minkowski mà chỉ đánh giá đó là một mẹo toán học. Ngày nay các nhà vật lý hàng đầu, trong đó có cả Leonard Susskind và Roger Penrose đều công nhận Minkowski có công hoàn thiện thuyết tương đối hẹp, và khái niệm spacetime (không-thời-gian) là của Minkowski.
Nếu bạn tò mò tìm hiểu thêm bạn sẽ thấy không gian Minkowski giải thích được nhiều thứ phức tạp chỉ bằng vài nét vẽ đơn giản.
Ví dụ như Null Geodesics. Null có nghĩa là zero + empty (không+trống rỗng). Geodesics là đường trắc địa hoặc đoản trình, là đường ngắn nhất mà hạt di chuyển từ điểm nọ đến điểm kia trong không gian. Ánh sáng luôn đi theo đường ngắn nhất trong không gian. Ở không gian ba chiều bình thường, môi trường chiết suất đẳng hướng, ánh sáng sẽ đi theo đường geodesics là đường thẳng. Trong không-thời-gian 4 chiều Minkowski, một hạt không có khối lượng, như photon, chuyển động với tốc độ anh sáng theo Null Geodesics, mà theo đó khoảng cách di chuyển là bằng 0 và thời gian riêng (proper time) là bằng không. Tức là photon không có trải nghiệm thời gian, photon không già đi theo thời gian thường. Đây là khái niệm khá là khó nắm bắt của thuyết tương đối hẹp. Đường Null Geodesics còn được gọi là light-like geodesics, để dễ phân biệt với time-like geodesics và space-like geodesics.
Một ví dụ khác là “nghịch lý thời gian” mà trong đó một người đi du hành vào vũ trụ rất lâu và trở về nhà sẽ thấy người anh em sinh đôi của mình đã trở nên già hơn mình được giải thích bằng 3 đường thẳng trong không gian Minkowski. Có thể tìm hiểu về Minkowski trong The Theoretical Minimum của Leonard Susskind, tập 3, là tập Special Relativity and Classical Field Theory.
Hình dưới đây mô tả nghiên cứu về lỗ đen của nhà vật lý trẻ người Mỹ Robert Oppenheimer năm 1939. Do thế chiến thứ hai nổ ra, Oppenheimer đi làm bom nguyên tử, công trình này đi vào quên lãng cho đến thập niên 1960 mới được lục ra.
Khi ngôi sao sụp đổ vào bên trong, trường hấp dẫn ở bề mặt ngôi sao ngày càng mạnh, các nón ánh sáng bị bẻ cong vào trong, và các tia sáng khó thoát ra khỏi ngôi sao hơn. Đến một thời điểm cụ thể, ánh sáng không còn thoát ra được nữa. Lúc này hình thành một vùng không-thời gian mà tất cả những gì trong đó, kể cả ánh sáng, không thể thoát ra ngoài và đến được với người quan sát. Vùng không – thời gian này được gọi là lỗ đen, đường biên của vùng này được gọi là chân trời sự kiện.
Trong cuốn Lược sử thời gian, bản cập nhật sau 10 năm phát hành, Hawking đã kể lại giai đoạn đặc biệt này. Nó đặc biệt ở chỗ cuộc sống cá nhân của Hawking thay đổi, sự nghiệp khoa học thay đổi, và qua đó làm thay đổi toàn bộ ngành vật lý vũ trụ hiện đại.
*
**
Năm 1965, một nhà vật lý người Anh tên là Roger Penrose chứng minh được rằng khi một ngôi sao có khối lượng khổng lồ bị đổ sụp vào trong do lực hấp dẫn của chính nó, toàn bộ vật chất của ngôi sao sẽ bị nhốt trong một vùng mà kích thước bề mặt của vùng này sẽ bị co về bằng không. Vì bề mặt có kích thước bằng không nên thể tích cũng bằng không.Toàn bộ vật chất của ngôi sao bị nén vào một thể tích bằng không, thì mật độ vật chất và độ cong của không-thời gian trở nên vô hạn và vô cực. Đây chính là cái được các nhà vật lý gọi là một điểm kỳ dị (singularity). Điểm kỳ dị này được chứa ở bên trong một vùng không gian kỳ ảo mà ngày nay quen thuộc với tên gọi lỗ đen. Tên gọi lỗ đen (black hole) do nhà vật lý người Mỹ John Wheeler đặt năm 1969.
Vào thời điểm này, Hawking đã sống hết hai năm kể từ ngày chẩn đoán được căn bệnh, mà sức khỏe chưa yếu đi nhiều lắm. Anh đang tìm đề tài làm luận văn tiến sỹ. Quan trọng hơn, anh chuẩn bị lấy vợ.
*
**
“Để cưới Jane, tôi cần phải có việc làm, để có việc làm, tôi cần bằng tiến sỹ.”
“Tôi đọc định lý của Penrose, định lý chứng minh rằng bất cứ vật thể nào bị suy sụp vào bên trong do lực hấp dẫn cũng sẽ hình thành một điểm kỳ dị. Tôi nhanh chóng nhận ra rằng nếu ta đảo ngược hướng của thời gian trong định lý của Penrose thì việc sụp đổ vào trong sẽ trở thành nở tung ra bên ngoài, các điều kiện (vật lý) của Penrose vẫn đúng, nó cho thấy một vũ trụ khá giống mô hình vũ trụ Friedmann (tức Big Bang).
“Định lý của Penrose đã chứng minh được bất cứ ngôi sao nào bị suy sụp vào trong sẽ phải tạo thành một điểm kỳ dị; lập luận ngược lại sẽ chứng minh được bất cứ vũ trụ đang giãn nở nào mà giống như mô hình Friedmann cũng phải bắt đầu từ một điểm kỳ dị.”
*
**
Với cảm hứng từ định lý của Roger Penrose về một điểm kỳ dị không-thời-gian nằm ở trung tâm một lỗ đen, Hawking đã hoàn thành bản luận văn xuất sắc của mình. Anh áp dụng định lý của Penrose vào kích cỡ lớn hơn: toàn bộ vũ trụ. Qua năm 1966, bản luận văn “Các điểm kỳ dị và hình học của không-thời-gian” của Hawking đã đoạt giải Adam dành cho các nhà toán học trẻ.
Trong ba năm cuối của thập niên 1970, Stephen và Jane sinh đứa con đầu lòng là con trai (1967); kết hợp với người đồng nghiệp lớn tuổi hơn và cũng là người thầy, nhà vật lý Roger Penrose, anh hoàn thành “định lý điểm kỳ dị Penrose -Hawking” (1968), và tiếp tục cùng Jane sinh đứa con thứ hai, lần này là con gái Lucy.
Công trình chung của Penrose và Hawking, cho thấy thuyết tương đối của Einstein áp dụng rất tốt ở các kích cỡ cực lớn như hệ mặt trời, ngân hà, hay toàn bộ vũ trụ lại bộc lộ khiếm khuyết lớn ở các điểm kỳ dị như Big Bang hay lỗ đen. Từ đó trong nghiên cứu tiếp theo của mình, Hawking đã sử dụng vật lý lượng tử, vốn chỉ áp dụng ở các kích cỡ cực nhỏ, vào việc nghiên cứu lỗ đen đã tạo ra được những đột phá lớn trong vật lý vũ trụ và lý thuyết hấp dẫn lượng tử.
Giả thuyết Kiểm duyệt vũ trụ
Penrose phát triển giả thuyết có tên gọi “kiểm duyệt của vũ trụ”. Ở phương tây thời đó, các đoạn bị kiểm duyệt bỏ trên các bài báo in sẽ bị bôi đen, bạn đọc biết đó là đoạn bị kiểm duyệt nhưng chịu không biết nội dung bị kiểm duyệt là gì. Các chỗ bị kiểm duyệt bị bôi đen như vậy thường là bộ phận nhạy cảm trên các hình ảnh cơ thể con người. Giả thuyết của Penrose được Hawking tóm tắt một cách hài hước: “Chúa không thích điểm kỳ dị khỏa thân.” Tức là điểm kỳ dị hình thành do suy sụp vì lực hấp dẫn chỉ xuất hiện bên trong những nơi như lỗ đen, là nơi mà các điểm kì dị bị giấu kín khỏi sự quan sát của những ai nằm bên ngoài đường chân trời sự kiện.”
*
**
Sau khi sinh Lucy, bệnh của Hawking nặng dần. Ngay cả việc leo lên giường để ngủ cũng mất rất nhiều thời gian. Trong một lần mãi mới leo được lên giường ấy, Hawking đã phát hiện ra một điều quan trọng. Anh gọi điện ngay cho Penrose và Penrose đồng ý với ý tưởng này.
*
**
Sau này, lúc đã rất già, mỗi khi Penrose đi giảng bài ông vẫn thường bị khán giả hỏi về Hawking. Ông giải thích rằng hồi đó hai người phải làm việc với nhau qua điện thoại. Giọng Hawking rất khó nghe, nếu nói về vật lý thì Penrose còn hiểu, khi nói về chuyện khác thì Penrose chịu, chả hiểu gì. Penrose cũng hay nói đùa là có hai Hawking, một Hawking trẻ luôn cứng cỏi bảo vệ lập trường của mình, rằng thông tin rơi vào lỗ đen sẽ biến mất; một Hawking già thì buông xuôi, đầu hàng trước sức ép của các nhà vật lý trẻ, và thay đổi lập trường của mình, rằng thông tin không bị mất trong lỗ đen mà được lưu trữ hoặc trả ngược ra bằng cách nào đó.
Có lẽ các nhà vật lý trẻ mà Penrose nói là ám chỉ đến Leonard Susskind và John Presskill. Susskind viết hẳn một cuốn sách tên Cuộc chiến lỗ đen về cuộc tranh luận dai dẳng này. Còn Presskill là người tham gia vụ cá cược nổi tiếng mà sau rất nhiều năm giằng co thì cuối cùng Hawking đã nhận thua Preskill. Preskill khi còn là sinh viên đã nổi tiếng với công trình về đơn cực từ của vũ trụ, là cái về sau dẫn đến thuyết “vũ trụ lạm phát” của Alan Guth. Hiện nay Preskill rất nổi với lý thuyết “thông tin lượng tử” và “tính toán lượng tử”. Một người khác cũng tham gia vụ cá cược này, ông đứng cùng phía với Hawking nhưng không chịu thua cược, đó là nhà vật lý Kip Thorne, người rất nổi tiếng qua bộ phim Interstellar và mới đoạt giải Nobel nhờ góp phần phát hiện ra sóng hấp dẫn.
*
**
Ý tưởng lóe lên trong đầu trong lúc leo lên giường đã dẫn Hawking đến việc anh áp dụng vật lý lượng tử vào nghiên cứu lỗ đen. Công trình này mang tên “Định luật hai của nhiệt động lực học lỗ đen”.
Nhiệt động lực học và entropy
Xuất hiện từ cuối thế kỷ 19, “định luật hai của nhiệt động lựchọc” phát biểu rằng entropy của một hệ cô lập sẽ luôn luôn tăng. Entropy là một đại lượng vật lý rất đặc biệt. Entropy được tính bằng công thức do Ludwig Boltzmann phát triển từ cuối thế kỷ 19 và được Max Planck hoàn thiện đầu thế kỷ 20 (tuy vẫn gọi là Boltzmann equation):
![]()
trong đó S là entropy, kB là hằng số Boltzmann , ln là logarithm tự nhiên (trong hình là log) và V (trong hình là W) là thể tích. Tức là entropy tỷ lệ với thể tích (không gian 3 chiều) của hệ.
Đơn giản về toán học nhưng ý nghĩa vật lý của entropy rất sâu sắc và khó nắm bắt. Hawking viết “entropy là đại lượng vật lý đo cấp độ mất trật tự của một hệ”. Nếu một hệ bị bỏ mặc cho chính nó, entropy của nó luôn tăng, tức là càng ngày nó càng mất trật tự hơn.”
Hawking ví von entropy giống như bàn làm việc lúc đầu thì ngăn nắp, nhưng sau một hồi thì nó lộn xộn hết cả lên. Nếu ta sắp xếp cho nó gọn lại, trật tự hơn, thì cần tiêu tốn năng lượng và nỗ lực của bản thân, và việc tiêu tốn này làm giảm mức độ trật tự của năng lượng.
Hawking lập luận rằng mọi vật chất và năng lượng đi qua đường chân trời sự kiện của lỗ đen sẽ bị lỗ đen nuốt chửng, và diện tích bề mặt lỗ đen sẽ lớn dần lên. Nếu một lượng vật chất có entropy lớn bị lỗ đen nuốt vào, tổng entropy bên ngoài lỗ đen sẽ giảm xuống, còn entropy bên trong lỗ đen sẽ tăng lên.
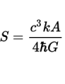
Từ đây, Hawking và một nghiên cứu sinh ở Princeton tên là Jacob Bekenstein đã tính được entropy của lỗ đen. Công thức này ngắn gọn như sau (SBH là entropy của lỗ đen, A là diện tích của bề mặt nằm trong có đường biên là chân trời sự kiện, k là hằng số Boltzmann).

(c là tốc độ ánh sáng, h là hằng số Planck, là quantum, G là hằng số hấp dẫn, là gravity, ghép lại ta sẽ thấy trong một equation có cả có cả lượng tử và hấp dẫn, tức là quantum gravity: hấp dẫn lượng tử.)
Nếu chia h cho 2π, ta có ħ, công thức sẽ viết thành

(về mặt hình thức, đây mới là equation được biết đến nhiều nhất của Hawking).
Công thức sẽ xuất hiện độ dài Planck nếu ta thay độ dài plank (lP) vào công thức ta sẽ có entropy lỗ đen SBH tính theo lP:
Trên đây là công thức nổi tiếng nhất của Hawking, nó có tên “công thức Bekenstein – Hawking”. (BH vừa là black hole, vừa là Bekenstein – Hawking)
Trong công thức này ta thấy entropy của lỗ đen thay vì tỷ lệ với thể tích sẽ tỉ lệ với diện tích (mặt hai chiều) của bề mặt có đường biên là chân trời sự kiện của lỗ đen.
Nhưng nếu lỗ đen có entropy, Hawking lập luận tiếp, thì nó phải có nhiệt độ. Nếu nó có nhiệt độ, nó phải phát ra bức xạ. Lỗ đen phải phát xạ ra các hạt. Đến năm 1973 thì Hawking tính ra được nhiệt độ của lỗ đen. Phát kiến này của Hawking khi được công bố đã gây choáng cho giới vật lý đương đại. Hố Đen hóa ra không đen lắm.
Công thức tính nhiệt độ bức xạ lỗ đen của Hawking:
Theo công thức này, một lỗ đen có khối lượng bằng khối lượng mặt trời sẽ có nhiệt độ 0.00000006 độ Kelvin (tức rất sát 0 độ Kelvin, là độ 0 tuyệt đối). Tức là thực nghiệm sẽ không bao giờ phát hiện được nhiệt độ này.
*
**
Nhưng làm sao lỗ đen vốn chỉ nuốt tất cả mọi thứ, lại có thể nhả ra bên ngoài các hạt bức xạ. Hay nói cách khác, bằng cách nào các hạt ấy thoát ra khỏi lực hấp dẫn khổng lồ của lỗ đen.
Lời giải thích đến từ “phương trình Einstein E = mc2 và “nguyên lý bất định Heisenberg” trong cơ học lượng tử.
Khoảng chân không bên ngoài đường chân trời của lỗ đen không thực sự là “trống rỗng”. Nó vẫn có thể có trường hấp dẫn và trường điện từ. Trường này có cường độ và có tốc độ biến đổi cường độ. Cường độ và tốc độ biến đổi của trường tương đương với vị trí và vận tốc của một hạt. Và theo nguyên lý bất định Heisenberg, ta không thể nào xác định được chính xác đồng thời cả vị trí lẫn vận tốc của hạt. Tức là cường độ và tốc độ biến đổi của trường không thể cùng lúc bằng không. Nó sẽ phải khác không, tức là có thể sẽ có các thăng giáng lượng tử trong cái gọi là “chân không” này. Từ các thăng giáng này sẽ xuất hiện hiện các cặp hạt và phản hạt. Các cặp hạt – phản hạt này này trong vật lý được gọi là “ảo”, vì tồn tại rất nhanh, chúng sinh ra rồi lại hủy lẫn nhau (ví dụ hạt và phản hạt của ánh sáng hoặc trường hấp dẫn).
Vì cần phải có năng lượng để sinh ra các cặp hạt, nên trong mỗi cặp hạt và phản hạt sẽ có một hạt mang năng lượng dương, một hạt mang năng lượng âm. Sau khi được sinh ra, chúng tìm gặp nhau để tự hủy.

Do lực hấp dẫn của lỗ đen cực kỳ lớn, chúng có thể hút một hạt ảo có năng lượng âm vào bên trong. Ngay khi vào bên trong, hạt ảo này trở thành hạt thực. Đối tác mang năng lượng dương của nó bơ vơ bên ngoài, không còn nhu cầu tự hủy và thoát khỏi vùng lân cận lỗ đen và đi vào nơi vô cực. Với người quan sát từ xa nhìn vào, các hạt thoát ra khỏi vùng lân cận của lỗ đen này giống như bức xạ do lỗ đen phát ra.
Ngày nay phát kiến này, được công bố hoàn chỉnh vào năm 1974, được biết đến với tên gọi “bức xạ Hawking”.
*
**
Giả thuyết ER=EPR
Bức xạ Hawking do sự hình thành của cặp hạt và phản hạt, trong đó một hạt bị hút vào trong lỗ đen, hạt còn lại bức xạ về nơi vô cực là tiền đề để gần đây Juan Maldacena và Leonard Susskind phát triển giả thuyết gây xôn xao giới vật lý lý thuyết: ER = EPR.
EPR, viết tắt của “nghịch lý Einstein–Podolsky–Rosen”, đề cập đến một hiện tượng bí ẩn bậc nhất của lượng tử: liên đới lượng tử (hoặc còn được dịch là dính líu lượng tử). Trong đó hai hạt sinh đôi, ví dụ hạt ánh sáng sinh đôi, mỗi hạt sau khi ra đời bay theo một hướng khác nhau, thậm chí ngược nhau. Khi hai hạt ở rất xa nhau rồi, ví dụ mỗi hạt ở một thiên hà xa xôi, nếu ta đo lường một hạt và biết trạng thái lượng tử của nó, thì ngay lập tức ta biết trạng thái lượng tử của hạt kia. Cứ như là thông tin được truyền từ hạt này qua hạt kia ngay lập tức, tức là truyền nhanh hơn tốc độ ánh sáng. Mà theo thuyết tương đối của Einstein tốc độ ánh sáng vốn là bất biến, và không có gì có thể chạy nhanh hơn tốc độ này. Hiện tượng này bị Einstein gọi là ma quái.
Khái niệm liên đới ( dính líu) lượng tử được Schrödinger đưa ra lần đầu tiên trong lá thư của ông này gửi cho Einstein. Trong thư nó được viết bằng tiếng Đức là Verschränkung. Cũng chính Schrödinger dịch từ này sang tiếng anh là engtanglement. EPR xuất phát từ những nỗ lực của Einstein nhằm chứng minh cơ học lượng tử có khiếm khuyết hoặc chưa hoàn thiện.
Sau này, đầu những năm 1980, liên đới lượng tử được Alain Aspect kiểm chứng bằng thực nghiệm, qua đó định lý của John Bell (1964) chứng minh cơ học lượng tử là phi định xứ (nonlocality). Tuy nhiên gần đây một số nhà vật lý, như Leonard Susskind, lại chứng minhc rằng dính líu lượng tử không vi phạm nguyên lý định xứ (phép chứng minh của Susskind chỉ dài độ 2 trang A4, có thể xem trong Theoretical minimum, tập 2, là tập về quantum physics.)
ER là viết tắt của “cầu Einstein–Rosen”. Bằng cách sử dụng nghiệm của một lỗ đen tiêu chuẩn hình bình cổ dài với cổ bình bị cắt ngang và sáp nhập với một lỗ đen giống như thế nhưng đã bị xoay ngược lại. Ý tưởng này của Einstein và Rosen ngày nay được các nhà vũ trụ học hình dung như một cổng để kết nối hai vũ trụ khác nhau trong không-thời-gian. Ý tưởng này có tên gọi “cầu Einstein-Rosen” hay còn được biết với tên “lỗ sâu đục”.
Giả thuyết ER = EPR cho rằng liên đới lượng tử tồn tại được là nhờ hình thành một lỗ sâu đục giữa hai hạt của một cặp hạt, trong đó một hạt rơi vào lỗ đen, hạt kia đi về vô cực.
*
**
Vật chất và năng lượng là hai đại lượng vật lý có thể chuyển đổi qua lại với nhau, nhờ công thức của Einstein: E = mc2, trong đó E là năng lượng, m là khối lượng, c là tốc độ ánh sáng. Khi lỗ đen hút năng lượng âm vào bên trong, khối lượng của nó giảm đi, diện tích bề mặt lỗ đen nhỏ lại, entropy của lỗ đen giảm xuống (để bù vào entropy mà bức xạ mang đi). Hawking chứng minh được rằng khi khối lượng lỗ đen giảm xuống thì nhiệt độ tốc độ bức xạ tăng lên. Hiện tượng này ngày nay chúng ta gọi là “sự bay hơi của lỗ đen”. Lỗ đen bay hơi đến một lúc nào đó thì khối lượng của nó còn rất nhỏ. Cái gì sẽ xảy ra ở thời điểm đó thì chưa ai rõ, nhưng Hawking cho rằng lỗ đen sẽ kết thúc bằng một vụ phát nổ bức xạ (nay được gọi là “vụ nổ Hawking”), tương đương nổ một quả bom khinh khí (tức là rất nhỏ với quy mô của vũ trụ).
Một lỗ đen có khối lượng gấp vài lần khối lượng mặt trời sẽ có nhiệt độ khoảng 1 phần 10 triệu độ trên độ không tuyệt đối (tức là 0 độ Kelvin). Nhiệt độ bức xạ nền của vũ trụ khoảng 2,7 độ Kelvin, cao hơn nhiệt độ lỗ đen khá nhiều. Vậy nên lỗ đen sẽ hút vào nhiều hơn bức xạ ra. Nhưng do vũ trụ giãn nở nên nhiệt độ nền của vũ trụ sẽ giảm dần xuống, đến một lúc nào đó sự bay hơi của lỗ đen sẽ xảy ra. Sẽ cần một khoảng thời gian rất dài, hàng rất nhiều triệu triệu năm (1064 năm hoặc lâu hơn nữa), thì lỗ đen mới bay hơi hoàn toàn.
Roger Penrose gọi quãng thời gian này là “kỷ nguyên nhàm chán”. Từ đây Penrose đề xuất một giả thuyết khá là điên rồ. Mỗi lần nói về thuyết này ông phải rào trước đón sau, rằng các nhà vật lý khác khi nghe đến thuyết này đều bảo rằng ông Penrose này già và lẩm cẩm quá rồi. Thuyết của Penrose có tên gọi “Mô hình vũ trụ học chu kỳ bảo giác (conformal cyclic cosmology, viết tắt là CCC. Trong sách ông còn tự diễu mình khi thay chữ cyclic bằng chữ crazy). Theo đó vũ trụ có cuộc sống luân hồi. Vũ trụ như hiện nay sẽ trưởng thành và đến một lúc nào đó toàn bộ vật vật chất hiện đang rải rác khắp vũ trụ sẽ co cụm vào các lỗ đen. Lúc này entropy vũ trụ tăng đến cực đại và được chứa trong các lỗ đen (lỗ đen là nơi có entropy cực kỳ cao). Sau “kỷ nguyên dài nhàm chán”, các lỗ đen lần lượt bay hơi hết. Lúc đó vũ trụ chỉ toàn hạt ánh sáng, nó kết thúc để rồi tái sinh qua một điểm kỳ dị của Big Bang tiếp theo. Rồi cứ thế lặp lại. Mỗi một cuộc đời vũ trụ như vậy, Penrose gọi là một aeon.Ở thời khắc cuối của aeon trước, và thời khắc khai sinh của aeon tiếp sau (Big Bang), vũ trụ chỉ có photon, không có vật chất, tức không có khối lượng, không có thời gian, không có khoảng cách không gian. (Xem thêm phần Null Geodesics ở trên.)
Bên cạnh công cụ hình học Minkowski, mô hình CCC của Penrose sử dụng các giả thuyết và công cụ hình học phức tạp do chính ông đề xuất (Weyl curvature hypothesis, Weyl tensor).
Là một người vừa phê phán tính cách, vừa trung thành với các ý tưởng gốc của Einstein: một mặt Penrose công khai chấp nhận tất cả các hiệu ứng ma quái của lượng tử, bao gồm cả hiệu ứng dính líu lượng tử và tính phi định xứ của nó; mặt khác Penrose sử dụng hằng số vũ trụ lambda phiên bản gốc như Einstein đề xuất năm 1917 và từ chối các khái niệm “chân không giả – false vaccuum”, “năng lượng tối – dark energy”.
Các lập luận bảo vệ liên đới (dính líu) lượng tử của Penrose khá phức tạp, và thường tham chiếu đến thực nghiệm của Lucien Hardy năm 1993. Theo lập luận của Penrose, cặpi hạt có liên đới lượng tử tuy phụ thuộc nhau (thay vì độc lập) nhưng chúng không thể dùng sự phụ thuộc này để truyền thông tin lập tức cho nhau.
Roger Penrose cũng là người phản đối mạnh mẽ giả thuyết tường lửa hố đen (black hole firewall) với lập luận rằng đường chân trời không có định nghĩa local riêng (là định nghĩa đã dựng lên tường lửa nướng chín bất cứ những gì đi vào hố đen). Ông cũng phản đối việc không chấp nhận thông tin bị mất khi đi vào hố đen với lập luận viêc mất thông tin thực sự xảy ra khi thông tin chạm vào điểm kỳ dị của lỗ đen, và bởi vậy thể tích của không gian pha (phase space) giảm đi, entropy cũng giảm đi theo công thức S=klogV.
*
**
Trước khi có công trình đột phá của Hawking và Bekenstein, các nghiên cứu về lỗ đen chỉ giới hạn trong cơ sở của thuyết tương đối.Trong công thức tính entropy của lỗ đen, Hawking và Bekenstein sử dụng công cụ của vật lý lượng tử, trong đó diện tích bề mặt lỗ đen tính theo đơn vị độ dài Planck. Đây là đơn vị đo của lượng tử mà các nhà lý thuyết dây và hấp dẫn lượng tử cho là khoảng cách bé nhất của không gian, không thể chia cắt nhỏ hơn được nữa. Diện tích Planck rất nhỏ, một “Plank vuông” chỉ bằng 10-66 một xăng ti mét vuông.
Nếu vật chất rơi vào lỗ đen là một “trạng thái lượng tử” thì cũng có nghĩa đó là một lượng thông tin lượng tử rơi vào lỗ đen. Khi đã rơi vào bên trong lỗ đen, thông tin này sẽ bị hút về phía điểm kỳ dị. Khi chạm vào điểm kỳ dị, thông tin sẽ bị cuốn phăng về vô cực của thời gian. Thông tin sẽ bị mất vĩnh viễn. Điều này mâu thuẫn với quan điểm của vật lý lượng tử: thông tin luôn được bảo toàn, không thể nào phá hủy được bit thông tin. Đây chính là “nghịch lý thông tin lỗ đen”, hoặc còn được gọi là “nghịch lý Hawking”. Nghịch lý này dẫn đến vụ đánh cược nổi tiếng, cá cược từ năm 1991 mà đến năm 2004 Hawking mới nhận mình thua.
Giả thuyết Vũ trụ toàn ảnh
Những người ủng hộ phe thắng cược phần nhiều là các nhà vật lý lý thuyết dây. Họ phát triển công trình của Hawking Bekenstein thêm một bước nữa. Năm 1997, nhà vật lý trẻ người Argentina tên là Joan Maldacena lần đầu tiên đưa ra “mô tả toàn ảnh của một vật thể có nhiều hơn ba chiều không gian (trong vật lý, do lỗ đen nằm trong không – thời gian nên các nghiên cứu lỗ đen phải làm việc với không gian bốn chiều hoặc nhiều hơn).
Những nhà theo “nguyên lý toàn ảnh” cho rằng toàn bộ thông tin (tức entropy) bên trong lỗ đen được mã hóa lên diện tích bề mặt lỗ đen. Giống như nếu ta chia nhỏ không gian trong một khán phòng hòa nhạc ra thành đơn vị thể tích Planck, thì tất cả các đơn vị này đều có thể được mã hóa lên mặt ngoài các bức tường của khán phòng. Mã hóa này làm bề mặt tường trở thành gồ ghề nhỏ li ti, và nếu biết cách ta có thể sử dụng nó như một tấm phim toàn ảnh (hologram). Hologram là một tấm phim phẳng (hai chiều) có bề mặt được chứa các thông tin đã mã hóa trong các rãnh gồ ghề rất nhỏ, nếu chiếu ánh sáng vào tấm phim này ta sẽ nhìn thấy hình ảnh khối (ba chiều) hiện ra. Hologram rất quen thuộc với chúng ta ở các tem chống hàng giả. Tức là nếu đứng bên ngoài khán phòng và chiếu ánh sáng phù hợp lên tường, ta sẽ thấy hình ảnh 3D của cả khán phòng bên trong. Hơn nữa, nếu các thông tin bên trong được quét giống như máy cộng hưởng từ quét não người, thì hình ảnh 3D hiện ra kia không chỉ là hình ảnh cái vỏ bên ngoài, mà chứa đựng cả nội dung bên trong.
Từ đó Leonard Susskind đưa ra các tính toán chi tiết hơn về một thế giới toàn ảnh (holographic world). Theo thuyết vũ trụ giãn nở, vốn dựa vào lý thuyết của Einstein và phát hiện của Edwin Hubble năm 1929, do vũ trụ giãn nở liên tục, vũ trụ càng ở xa ta thì lùi xa với vận tốc càng cao. Ở một khoảng cách đủ xa, vũ trụ lùi ra xa ta với tốc độ nhanh hơn tốc độ ánh sáng, và bởi vậy ánh sáng từ đó không có cách nào chạy đến được với chúng ta. Như vậy khi ta nhìn ra vũ trụ xung quanh, nhìn xa hết cỡ cũng chỉ có thể quan sát tối đa được tới được một đường biên hình tròn gọi là chân trời vũ trụ (cosmic horizon). Ta không thể biết được gì về vũ trụ nằm ngoài đường chân trời ấy. Phía ngoài đường tròn chân trời vũ trụ ấy là một lượng thông tin khổng lồ, lượng thông tin ấy được mã hóa lên mặt phẳng bên trong đường tròn. Và thế giới mà ta đang sống chỉ là hình ảnh holographic hiện ra từ mặt phẳng ấy.
*
**
Trong những người ở phe không đồng ý với việc Hawking nhận thua cược có Sir Roger Penrose. Penrose có nhiều lập luận để biện minh cho việc thông tin bị mất hẳn khi rơi vào lỗ đen sẽ không vi phạm tính đơn nhất của vật lý lượng tử (tổng xác suất của mọi kết quả khả dĩ của hệ lượng tử đang tiến hóa phải luôn bằng một.) Đây cũng là một trong những lập luận cơ bản để Penrose xây dựng mô hình vũ trụ CCC kỳ lạ của mình.
Giả thuyết Tường lửa hố đen
Một nhà vật lý khác, Joseph Polchinski, người mới qua đời đầu năm nay ở tuối 63, đã khảo sát lại nghịch lý thông tin một lần nữa vào năm 2012. Khảo sát của Polchinski cho rằng bao quanh đường chân trời sự kiện là một bức tường lửa có nhiệt độ cực kỳ cao. Các lập luận và tính toán để đi đến kết luận này của Polchinski có những lập luận làm lung lay chiến thắng của phe thắng cược.
*
**
Hawking kể rằng năm 1981 ông qua Moscow để dự một hội thảo về hấp dẫn lượng tử. Lúc này giọng nói của ông đã gần như không còn ai hiểu được nữa. Chỉ có người thân mới hiểu ông nói gì. Các bài giảng của ông được chuẩn bị trước và có người đọc lại. Khi tới Moscow ông mới nhận ra là chưa chuẩn bị trước. Vậy nên ông phải nói trực tiếp và một nghiên cứu sinh của ông nhắc lại cho khán giả hiểu. Cách làm này vô tình khiến ông có cảm xúc trong việc tương tác với thính giả. Có lẽ đây là cảm hứng để ông viết cuốn sách dành cho bạn đọc phổ thông mà sau này cực kỳ nổi tiếng, cuốn Lược sử thời gian. Trong chuyến đi tới Moscow này, Hawking đã “phát hiện” được một nhà vật lý trẻ người Nga, Andre Linde, người sau này chuyển sang Mỹ làm việc và thành công với mô hình vũ trụ lạm phát (cùng với Alan Guth).
Giả thuyết Vũ trụ không mặt biên
Hai năm sau, năm 1983, Hawking và James Hartle đề xuất giả thuyết “Hàm sóng của vũ trụ” theo đó ở vũ trụ không có mặt biên. Vũ trụ là một điểm kỳ dị trong không – thời gian ngay trước Big Bang, về mặt toán học nó không có đường biên (bề mặt, bao bọc bên ngoài) của cả thời gian lẫn không gian. Thời gian như ta nhận thức được hiện nay, chỉ đột ngột sinh ra sau khi vũ trụ kết thúc kỷ nguyên “thời gian Planck”. (Thời gian Plank là khoảng thời gian ngắn nhất theo vật lý lượng tử và không thể chia cắt nhỏ hơn nữa.) Theo giả thuyết này, vũ trụ hiện nay giống như bề mặt của của một quả bóng bay đang được bơm căng dần lên. Các thiên hà nằm trên bề mặt quả bóng và do quả bóng đang căng lên các thiên hà cũng sẽ giãn xa nhau ra.
Hai năm sau nữa, năm 1985, sau một ca phẫu thuật, Hawking mất giọng nói hoàn toàn và phải dùng máy tính để trợ giúp.
*
**
Stephen Hawking sinh ngày 8 tháng Giêng năm 1942, đúng vào ngày mà trước đó 300 năm Galile Galileo qua đời. Hawking khá thích chi tiết này và có nhắc đến trong cuốn sách nổi tiếng của mình.
Ngày 14 tháng 3 năm nay, đúng vào ngày của số Pi (Pi Day), và là sinh nhật lần thứ 139 của Einstein, nhà vật lý lỗ đen Stephen Hawking đã bay hơi về nơi vô tận. Nhưng chắc chắn các bức xạ vật lý của ông sẽ không bao giờ bị mất, nó sẽ tồn tại mãi trong kiến thức của vũ trụ học hiện đại và trong những trang sách giáo khoa. Đây có lẽ là lý do mà Hawking cuối cùng đã chịu phần thua trong vụ cá cược dai dẳng và nổi tiếng khắp thế giới.
Hawking nói về thuyết lượng tử
“Tôi không đòi hỏi một lý thuyết phù hợp với thế giới thực vì tôi không biết lý thuyết đó là gì. Thế giới thực không phải là một đại lượng mà ta có thể kiểm tra bằng mấy mấu giấy quỳ tím. Tất cả những gì tôi quan tâm là một lý thuyết có thể dự báo kết quả của các phép đo.”






Bạn phải đăng nhập để bình luận.